Interleukin-6 and serum lactate as biomarkers in predicting morbidity and mortality among patients with polytrauma and multiple trauma
Introduction
Polytrauma is ranked fifth worldwide among the top 10 causes of morbidity and mortality, and 98/10,000 individuals die following major trauma despite adequate medical treatment (1). The Berlin study conducted in 2014 has defined polytrauma as a condition where in the “Abbreviated Injury Score is greater than 3 in at least 2 body regions; Injury Severity Score (ISS) is greater than or equal to 16 with one of the five physiological parameters namely: hypotension (systolic blood pressure less than 90 mmHg), loss of consciousness (Glasgow Coma Scale <8), acidosis (base excess less than 6), coagulopathy [international normalized ratio) (INR) >1.4] and age greater than 70 years” (1). Rendy et al. defined multiple trauma as a condition wherein the “AIS is greater than 3 in at least one body region with ISS greater than or equal to 16 without significant physiological disarray (2). Following major trauma, an exaggerated immune response is triggered because of the stress of injury (first hit), which is further amplified by surgical procedures performed during this period (second hit) (3). This process is facilitated by pro- and anti-inflammatory cytokines, of which interleukin-6 (IL-6) is considered a biomarker for predicting morbidity and mortality in patients with multiple injuries because it is one of the first cytokines to be elevated following injury (4). Similarly, lactic acid, which is a byproduct of anaerobic metabolism due to hypoperfusion of the major organ systems, is a potent marker for predicting morbidity and mortality, especially when studied serially. Multiple Organ Dysfunction Syndrome (MODS) was defined as a condition occurring due to initial inflammatory phase following polytrauma or multiple trauma, characterized by reversible physiological abnormalities with the dysfunction of two or more organs that occurs simultaneously leading to longer stays in the intensive care unit (ICU) or mortality in severe cases (5).
Anatomical and physiological scoring systems are being routinely used in emergency and critical care units to predict the onset of MODS, although these systems depend on the anatomical and physiological parameters that are prone to interobserver variability (4). According to Meccariello et al. in his study,an ideal outcome score system should be simple, all inclusive, reliable and reproducible and should be able to provide prognostic information based on the outcomes of different fracture patterns to help a surgeon to improve preoperative planning and treatment to improve outcomes in patients with multiple injuries (6). Previous studies performed using inflammatory markers such as mean platelet volume and erythrocyte sedimentation rate could not reliably predict outcomes even when used with the anatomical and physiological scoring systems (7,8). Hence, we assessed the levels of IL-6 and serum lactate in patients with polytrauma and multiple trauma and evaluated their role as biomarkers for predicting morbidity and mortality in these patients. Further, we calculated the cut-off value of IL-6 to predict morbidity, which has not been extensively studied in the Indian subcontinent (3,6). Thus, this study provides insights into the use of IL-6 and serum lactate as biomarkers to predict morbidity in patients with polytrauma and multiple trauma in South India.
Methods
This prospective, observational study was conducted at Mahatma Gandhi Medical College and Research Institute, Pondicherry, between January 2020 and September 2021 after Institutional Review Board approval. A total of 34 patients with polytrauma or multiple trauma who presented to the Emergency Department within 24 hours of injury with an injury severity score of >16 at presentation and who were willing to stay in the hospital for at least five days were included in the study. One patient who was aged less than 18 years, and one patient with history of chronic steroid use, one patient suffering from chronic liver disease and one patient with chronic kidney disease were excluded from the study. The patients satisfying the inclusion criteria were assigned to a single group after measuring the Injury severity score wherein the Abbreviated Injury Score (AIS) was calculated and the codes were grouped into 6 body regions namely head and neck, face, chest, abdomen, extremities and external injuries. Only the highest AIS severity score in each body region was considered and the sum of the squared AIS scores for the three most severely affected regions was taken as Injury severity score. Patients with two or more organ systems involvement were considered as Polytrauma patients and patients with one or more organ system involvement or patients with more than one long bone injury were considered as multiple trauma patients (7). An informed and written consent was obtained from the patients or their attender. IL-6 levels were assessed by collecting two millilitres of venous blood in an ethylene diamine tetraacetic acid (EDTA) (Lavender) vacutainer on day zero (time of presentation), day one (24 hours after the first sample), and day five (the fifth day following injury). The samples were centrifuged at 2,500 rpm (revolutions per minute) for 15 minutes to separate plasma from the underlying cellular components and then stored at −70 ℃ at the Central Interdisciplinary Research Facility. The samples were then collectively assessed using an enzyme linked immunosorbent assay (ELISA) kit (Abbkine, SynergyTM, Chennai, India). The serum lactate levels were assessed by collecting a drop of blood by using a lactometer (Lactospark, SensacoreTM, Hyderabad, India), which is an amperometric biosensor that calculates the level of lactate within 5 seconds on day zero, day one and day five. The patients were monitored daily using the Sequential Organ Failure Assessment (SOFA) score which is a physiological score comprising 6 variables, each representing an organ system that is assigned a point value from zero (normal) to four (8). The patient was considered to have developed MODS if SOFA score was more than four on any given time during the study period (9). The study was conducted in accordance with the Declaration of Helsinki (as revised in 2013). and was approved by institutional ethics committee (ECR/451/Inst/PO/2013/RR-19).
Statistical analysis
Statistical analysis was performed using SPSS version 19.0 (IBM SPSS, USA) software with regression modules installed. Descriptive analyses were performed, and their results for continuous variables are expressed as the mean and standard deviation. Analysis of variance was performed to determine the variability of IL-6 and serum lactate levels between different days. Multivariate analysis using a correlation coefficient matrix was performed to determine the association between IL-6, serum lactate, injury severity score, and SOFA score. Univariate analysis was performed to determine the correlation between the variables and the development of MODS. Receiver operating characteristic (ROC) curve analysis was used to determine the association between IL-6 and MODS and to determine the cut-off value of IL-6 to predict MODS.
Results
Of the 30 patients, 28 were men and two were women, with a mean age of 43.80 years (range, 30–60 years), and 60% of the study participants had no comorbidities. Among the study participants, seven patients suffered from polytrauma as defined by the Berlin definition, and 23 patients suffered from multiple trauma as defined by Rendy et al. in his study (1,2). The mean injury severity score at the time of presentation was 32.03 (range, 17–54 years). The SOFA score was measured serially, and the results are shown in Table 1. IL-6 levels were assessed using the Abbkine Synergy kits that have a normal value range of 12–92 pg/mL and a significant value of greater than 200 pg/mL. Of the 30 patients, four patients developed MODS and two patients died during the study period. As shown in Table 2, IL-6 levels were higher than the normal range in all patients with polytrauma and 25% of patients with multiple trauma. Serum lactate levels were also increased in patients with polytrauma (more than 2 mmol/L), as described in Table 2.
Table 1
| Score | Day | Injury Severity Score | SOFA score | Interleukin-6 (pg) | Serum lactate | |||||||||||||
|---|---|---|---|---|---|---|---|---|---|---|---|---|---|---|---|---|---|---|
| Day 0 | Day 1 | Day 5 | Day 1 | Day 2 | Day 3 | Day 4 | Day 5 | Day 0 | Day 1 | Day 5 | Day 0 | Day 1 | Day 5 | |||||
| Injury Severity Score | Day 0 | 1 | 0.977** | 0.968** | 0.468 | 0.572* | 0.658* | 0.596 | 0.669** | 0.618** | 0.748** | 0.609* | 0.623** | 0.652** | 0.655** | |||
| Day 1 | 1 | 0.998** | 0.489 | 0.525* | 0.576* | 0.519** | 0.616 | 0.665** | 0.807** | 0.624** | 0.621** | 0.621** | 0.655** | |||||
| Day 5 | 1 | 0.466 | 0.467* | 0.503 | 0.505** | 0.620** | 0.632 | 0.822** | 0.624** | 0.574* | 0.588* | 0.666** | ||||||
| SOFA score | Day 1 | 1 | 0.937** | 0.822** | 0.783** | 0.611* | 0.126* | 0.293 | 0.122 | 0.755** | 0.653** | 0.557* | ||||||
| Day 2 | 1 | 0.888** | 0.876** | 0.672** | 0.298* | 0.447* | 0.168 | 0.791** | 0.772** | 0.628** | ||||||||
| Day 3 | 1 | 0.949** | 0.842** | 0.372** | 0.486 | 0.323 | 0.777** | 0.761** | 0.679** | |||||||||
| Day 4 | 1 | 0.893** | 0.255 | 0.326 | 0.370 | 0.719** | 0.692** | 0.748** | ||||||||||
| Day 5 | 1 | 0.365** | 0.446* | 0.632** | 0.643** | 0.607* | 0.819** | |||||||||||
| Interleukin-6 (pg) | Day 0 | 1 | 0.904** | 0.825** | 0.374* | 0.489* | 0.485* | |||||||||||
| Day 1 | 1 | 0.701** | 0.556* | 0.656** | 0.542* | |||||||||||||
| Day 5 | 1 | 0.337 | 0.337 | 0.673** | ||||||||||||||
| Serum lactate | Day 0 | 1 | 0.932** | 0.852** | ||||||||||||||
| Day 1 | 1 | 0.809** | ||||||||||||||||
| Day 5 | 1 | |||||||||||||||||
*, correlation is significant at P value <0.05; **, correlation is significant at P value <0.01. SOFA, Sequential Organ Failure Assessment.
Table 2
| Variable | MODS | No MODS |
|---|---|---|
| Patients (n) | 4 | 26 |
| Age, mean ± SD (years) | 40.75±8.23 | 44.27±2.81 |
| Sex (M:F) | 3:1 | 23:3 |
| Pulse, mean ± SD | 118.5±4.99 | 104.88±3.29 |
| Oxygen saturation, mean ± SD | 89.52±6.61 | 94.35±1.05 |
| Injury Severity Score, mean ± SD | ||
| Day 0 | 44.25±3.33 | 30.15±1.90 |
| Day 1 | 45.75±2.25 | 30.52±2.15 |
| Day 5 | 46.75±1.89 | 29.71±2.07 |
| SOFA score, mean ± SD | ||
| Day 1 | 3.75±1.38 | 1.46±0.33 |
| Day 2 | 3.25±1.44 | 0.96±0.22 |
| Day 3 | 2.00±1.23 | 0.88±0.26 |
| Day 4 | 2.00±1.23 | 0.46±0.19 |
| Day 5 | 2.00±0.82 | 0.50±0.26 |
SOFA, Sequential Organ Failure Assessment; MODS, Multiple Organ Dysfunction Syndrome.
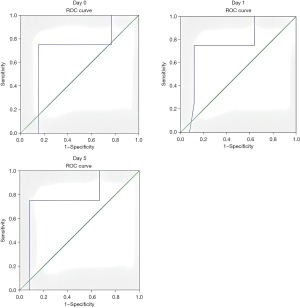
The variation in the IL-6 and serum lactate levels between different days was not statistically significant. Multivariate analysis using the correlation coefficient matrix showed a statistically significant correlation between the IL-6 level, serum lactate level, injury severity score, and SOFA score. Furthermore, the IL-6 levels were significantly correlated with the serum lactate levels on day zero, day one and day five. The univariate analysis to determine the correlation between the study variables and the development of MODS showed a significant correlation between the IL-6 and serum lactate levels, with the development of MODS as described in Table 3. Variables such as age, gender, vitals at presentation, injury severity score, and SOFA score did not exhibit a significant correlation with the development of MODS. ROC curve analysis showed that the levels of IL-6 and serum lactate predicted morbidity with the sensitivity of 75% and 91.6%, respectively, and specificity of 88% and 86.8%, respectively (Table 4, Figure 1). The specificity of both IL-6 and serum lactate in predicting morbidity increased on day five as seen in Table 4. ROC curve analysis also yielded an IL-6 cut-off value of 102.9 pg to predict morbidity.
Table 3
| Variable | Day | MODS, mean ± SD | No MODS, mean ± SD | Significance (P) |
|---|---|---|---|---|
| Interleukin-6 | Day 0 | 122.58±36.70 | 73.38±18.74 | <0.001 |
| Day 1 | 126.43±37.18 | 60.83±15.88 | <0.001 | |
| Day 5 | 88.22±34.00 | 45.71±13.13 | <0.001 | |
| Serum lactate | Day 0 | 4.58±0.53 | 2.66±0.32 | <0.001 |
| Day 1 | 4.20±0.59 | 2.62±0.27 | <0.001 | |
| Day 5 | 4.03±0.42 | 1.93±1.06 | <0.001 |
MODS, Multiple Organ Dysfunction Syndrome.
Table 4
| Variable | Day | Area under the curve | Std. error | Lower bound | Upper bound | Cut off value | Sensitivity | Specificity |
|---|---|---|---|---|---|---|---|---|
| Interleukin-6 | Day 0 | 0.692 | 0.148 | 0.402 | 0.983 | 106.56 | 0.750 | 0.846 |
| Day 1 | 0.745 | 0.137 | 0.476 | 1.000 | 129.16 | 0.750 | 0.880 | |
| Day 5 | 0.771 | 0.139 | 0.499 | 1.000 | 67.50 | 0.750 | 0.917 | |
| Serum lactate | Day 0 | 0.885 | 0.061 | 0.766 | 1.000 | 3.75 | 1.000 | 0.808 |
| Day 1 | 0.860 | 0.083 | 0.697 | 1.000 | 3.90 | 0.75 | 0.880 | |
| Day 5 | 0.953 | 0.042 | 0.871 | 1.000 | 2.90 | 1.000 | 0.917 |
Discussion
Trauma related injuries are often complex in nature requiring patients to stay in the hospital for extended periods of time, often involving specialist care within an ICU resulting in extensive physiological and psychological burden on the patient and his bystanders (10). Over recent years, therapeutic concepts of patients with major trauma have improved but organ dysfunction still remains a frequent complication since the concept of “Second hit” or “Third hit” of polytrauma is still not completely understood (11,12). In the present study, 30 participants who were mainly young and middle-aged men were included with the mean age of the study participants being 43.8 years which is in concordance with other Indian studies (11,12). However studies conducted in Western countries in contrast, reported that elderly patients represented 47.8% of his population (13,14). This difference in age is probably because of the high incidence of high-velocity injuries due to road traffic accidents in the young and middle-aged populations who are a part of the productive workforce in developing countries such as India (11,12).
We did not find a significant correlation between the patient’s vitals at presentation [pulse, blood pressure (BP), oxygen saturation (SPO2)] with morbidity and mortality which was justified by Montoya et al. in his study which concluded that while blood pressure and shock index predicted the efficacy of initial resuscitation, they could not significantly predict the prognosis of polytrauma and multiple trauma patients (15).
Various patterns of injury among the study participants ranging from multiple closed fractures of the extremities to involvement of two or more organ systems such as head, chest and open injuries to extremities were studied by us and we observed that patients with higher Injury severity scores on admission had a higher incidence of morbidity and mortality which was also observed by Oktafianto et al. and Rendy et al. in their respective studies (2,16). However, we found no significant correlation between the anatomical scores and physiological scores alone with the development of MODS, which is consistent with the findings of other studies (17,18). This is because the response of every individual to the stress of trauma is unique, and the response to treatment also varies among individuals due to different factors (17). We observed that the levels of IL-6 predicted the development of MODS in our study. Patients with IL-6 levels greater than 102.9 pg had a higher probability of having MODS, which required further intervention. The cut-off value in this study was lower than those reported in studies conducted abroad (721.7 pg) (3). This may be because the ELISA kit used for the detection of IL-6 in our study had a range of 2–400 pg. In the present study, serum lactate levels could predict MODS both independently and in association with IL-6 This finding suggested that serum lactate might be considered an independent biomarker to predict morbidity and mortality in patients with trauma in developing countries such as India where the routine assessment of IL-6 levels is expensive and time consuming. This study has some limitations. The sample size of the present study is smaller than that of other similar studies because of the reduction in incidences of trauma due to the coronavirus disease 2019 (COVID-19) pandemic during the study period. In addition, due to logistic reasons, blood samples for IL-6 level determination obtained from the study participants were stored in a deep freezer and were collectively analyzed retrospectively rather than on a real-time basis, unlike other studies.
Conclusions
In this study, the levels of IL-6 and serum lactate were high in patients who died or developed MODS, and the levels of both IL-6 and serum lactate significantly correlated with each other to predict morbidity and mortality. In our kit, an IL-6 cut-off value of more than 102.9 pg denoted a higher risk of the development of MODS. Therefore, we concluded that IL-6 and serum lactate can be considered biomarkers for predicting morbidity and mortality in patients with polytrauma and multiple trauma.
Acknowledgments
We acknowledge Dr. Sushma Chandrashekar (Department of Orthopedics, JIPMER), institutional review board & Central Interdisciplinary research facility Mahatma Gandhi Medical College & Hospital.
Funding: None.
Footnote
Data Sharing Statement: Available at https://jxym.amegroups.com/article/view/10.21037/jxym-22-22/dss
Peer Review File: Available at https://jxym.amegroups.com/article/view/10.21037/jxym-22-22/prf
Conflicts of Interest: All authors have completed the ICMJE uniform disclosure form (available at https://jxym.amegroups.com/article/view/10.21037/jxym-22-22/coif). The authors have no conflicts of interest to declare.
Ethical Statement: The authors are accountable for all aspects of the work in ensuring that questions related to the accuracy or integrity of any part of the work are appropriately investigated and resolved. The study was conducted in accordance with the Declaration of Helsinki (as revised in 2013). The study was approved by institutional ethics committee (ECR/451/Inst/PO/2013/RR-19) and informed consent was taken from all the patients.
Open Access Statement: This is an Open Access article distributed in accordance with the Creative Commons Attribution-NonCommercial-NoDerivs 4.0 International License (CC BY-NC-ND 4.0), which permits the non-commercial replication and distribution of the article with the strict proviso that no changes or edits are made and the original work is properly cited (including links to both the formal publication through the relevant DOI and the license). See: https://creativecommons.org/licenses/by-nc-nd/4.0/.
References
- Butcher NE, Balogh ZJ. Update on the definition of polytrauma. Eur J Trauma Emerg Surg 2014;40:107-11. [Crossref] [PubMed]
- Rendy L, Sapan HB, Kalesaran LTB. Multiple organ dysfunction syndrome (MODS) prediction score in multi-trauma patients. Int J Surg Open 2017. doi:
10.1016/j.ijso.2017.05.003 .10.1016/j.ijso.2017.05.003 - Frink M, van Griensven M, Kobbe P, et al. IL-6 predicts organ dysfunction and mortality in patients with multiple injuries. Scand J Trauma Resusc Emerg Med 2009;17:49. [Crossref] [PubMed]
- Lamichhane P, Shrestha S, Banskota B, et al. Serum Lactate –An indicator of morbidity and mortality in polytrauma and multi-trauma patients. Nepal Orthop Assoc J 2011;2:7-13. [Crossref]
- Asim M, Amin F, El-Menyar A. Multiple organ dysfunction syndrome: Contemporary insights on the clinicopathological spectrum. Qatar Med J 2020;2020:22. [Crossref] [PubMed]
- Meccariello L, Razzano C, De Dominicis C, et al. A new prognostic pelvic injury outcome score. Med Glas (Zenica) 2021;18:299-308. [PubMed]
- Alper B, Erdogan B, Erdogan MÖ, et al. Associations of Trauma Severity with Mean Platelet Volume and Levels of Systemic Inflammatory Markers (IL1β, IL6, TNFα, and CRP). Mediators Inflamm 2016;2016:9894716. [Crossref] [PubMed]
- Javali RH. Comparison of Injury Severity Score, New Injury Severity Score, Revised Trauma Score and Trauma and Injury Severity Score for Mortality Prediction in Elderly Trauma Patients. Indian Journal of Critical Care Medicine 2019;23:73-7. [Crossref] [PubMed]
- Lambden S, Laterre PF, Levy MM, et al. The SOFA score-development, utility and challenges of accurate assessment in clinical trials. Crit Care 2019;23:374. [Crossref] [PubMed]
- Abhilash KP, Chakraborthy N, Pandian GR, et al. Profile of trauma patients in the emergency department of a tertiary care hospital in South India. J Family Med Prim Care 2016;5:558-63. [Crossref] [PubMed]
- Hemanthakumar Velmurugan K, Serum Lactate Muthu S. – An indicator of morbidity & mortality in Polytrauma patients. IOSR J Dent Med Sci 2017;16:17-25.
- Douraiswami B, Dilip PK, Harish BN, et al. C-reactive protein and interleukin-6 levels in the early detection of infection after open fractures. J Orthop Surg (Hong Kong) 2012;20:381-5. [Crossref] [PubMed]
- de Vries R, Reininga IHF, Pieske O, et al. Injury mechanisms, patterns and outcomes of older polytrauma patients-An analysis of the Dutch Trauma Registry. PLoS One 2018;13:e0190587. [Crossref] [PubMed]
- Kirshenbom D, Ben-Zaken Z, Albilya N, et al. Older Age, Comorbid Illnesses, and Injury Severity Affect Immediate Outcome in Elderly Trauma Patients. J Emerg Trauma Shock 2017;10:146-50. [Crossref] [PubMed]
- Montoya KF, Charry JD, Calle-Toro JS, et al. Shock index as a mortality predictor in patients with acute polytrauma. J Acute Dis 2015;4:202-4. [Crossref]
- Oktafianto DMR, Risantoso DT. Relationship Between Interleukin-6 And The Occurrence Of Mods In Multitrauma Patients With Fracture Oniss ≥17. IOSR Journal of Dental and Medical Sciences (IOSR-JDMS) 2019;18:86-92.
- Payal P, Sonu G, Anil GK, et al. Management of polytrauma patients in emergency department: An experience of a tertiary care health institution of northern India. World J Emerg Med 2013;4:15-9. [Crossref] [PubMed]
- Ishikawa S, Teshima Y, Otsubo H, et al. Risk prediction of biomarkers for early multiple organ dysfunction in critically ill patients. BMC Emerg Med 2021;21:132. [Crossref] [PubMed]
Cite this article as: Rao A, Balabaskaran S, Abraham VT, Rajendran C, Govindaraju SK. Interleukin-6 and serum lactate as biomarkers in predicting morbidity and mortality among patients with polytrauma and multiple trauma. J Xiangya Med 2022;7:27.

